长期以来,我国大气污染研究主要聚焦于京津冀、长三角等传统重点区域。然而,位于高纬度严寒气候带的东北地区,其大气污染特征是否遵循同样的形成机制?这一问题至今缺乏系统认识。
近日,哈尔滨工业大学环境学院(城乡水资源与水环境全国重点实验室)程远和清华大学环境学院(区域环境安全全国重点实验室)贺克斌教授在Science Bulletin上联合发表了题为“Northeast China: an emerging hotspot of atmospheric sciences”的快讯文章,指出东北寒区正在成为大气科学研究中一个亟需关注的新热点区域。

为什么是东北寒区?
从污染排放结构、排放强度到气候条件,东北寒区均表现出显著不同于我国传统污染防控重点区域的特征。以哈长城市群为代表的东北严寒地区,既不同于京津冀、长三角等中低纬城市群,也有别于多伦多、赫尔辛基等处于相似甚至更高纬度的欧美城市。这种“高纬度 + 强人类排放 + 严寒气候”的独特组合,使东北地区的大气环境在全球范围内都具有不可替代的研究价值。
发现一:城市中出现“生物质燃烧源排放级别”的秸秆焚烧影响
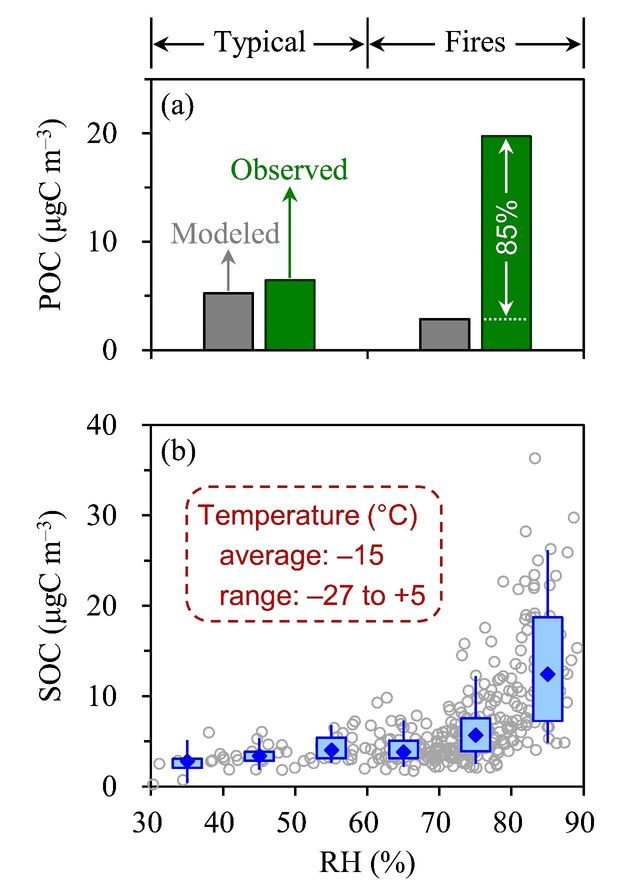
研究团队基于对哈尔滨市PM2.5化学组分的长期连续观测,并自主发展了带多重约束条件的来源解析与成因诊断方法,系统揭示了东北寒区霾污染的独特性。外场观测结果显示,在春季秸秆露天焚烧期间,城区受体点左旋葡聚糖与有机碳(OC)的比值可高达生物质燃烧源排放的典型水平。这意味着,高强度秸秆焚烧对城市空气质量的直接影响,在我国乃至全球城市大气环境中都极为罕见。
发现二:极寒条件下仍然活跃的非均相大气化学
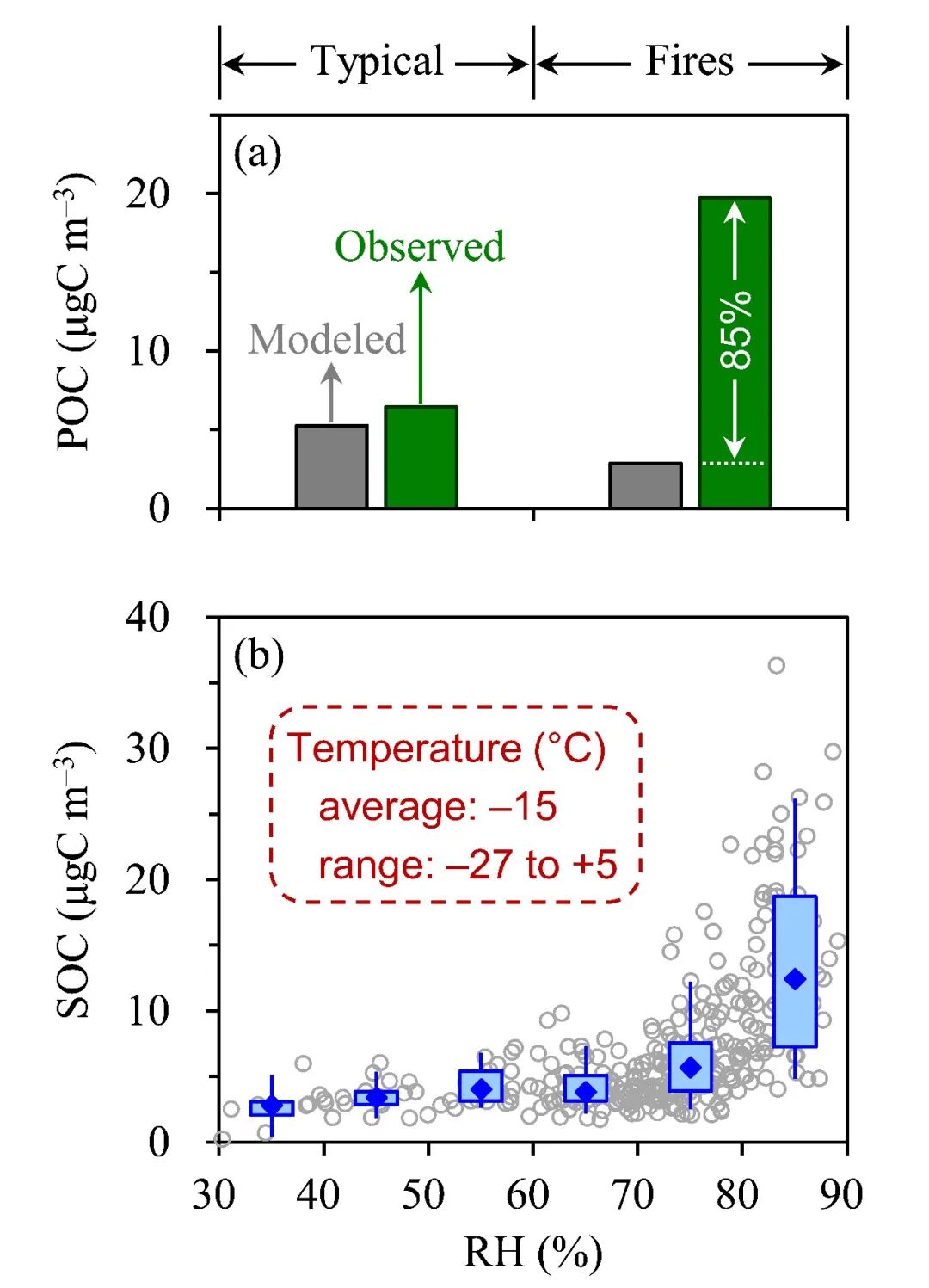
更引人关注的是,即便在冬季平均气温低至-15 °C的条件下,当相对湿度超过80% 时,二次有机碳(SOC)和硫酸盐仍会出现爆发式增长。这一现象表明,东北寒区在极端低温条件下,仍然可以发生与华北冬季相似的高湿度驱动非均相大气化学反应,突破了传统认知中“低温抑制二次生成”的简单假设。
对现有模型的挑战:模拟值仅为观测的 15%–20%
当前主流空气质量模型在刻画东北寒区PM2.5污染方面仍存在显著不足。在秸秆焚烧事件中,模型模拟的一次OC仅为观测值的约 15%;在冬季高相对湿度条件下,二次OC的模拟值也仅为观测的约 20%。如此显著的模拟缺口表明,东北寒区的排放清单构建与低温高湿条件下的大气化学机制仍存在一系列亟待破解的关键科学问题。
科学启示
该研究指出,东北寒区并非传统意义上的“大气化学冷区”,而是一个兼具强排放扰动与复杂化学过程的前沿研究区域。未来应围绕东北寒区霾污染开展更加系统、深入的观测与机理研究,以完善区域排放清单并改进大气化学模型。

图1.(a)春季一次OC(POC)观测与模拟结果比对,其中“Fires”和“Typical”分别代表秸秆焚烧事件和普通时段;(b)基于外场观测的冬季二次OC(SOC)随相对湿度(RH)变化关系。
哈尔滨工业大学程远为论文第一作者和通讯作者,清华大学贺克斌教授为共同通讯作者。该研究获得国家自然科学基金资助,并得到黑龙江省“头雁”计划、哈尔滨工业大学青年科学家工作室及小米青年学者项目的支持。
转载来源:https://mp.weixin.qq.com/s/Co7livUVVTqXbcUeVP4iXw